二维碳石墨炔(GD)是由1,3-二炔键将苯环共轭连接形成的具有二维平面网络的全碳超大结构,具有丰富的碳化学键,大的共轭体系、宽面间距、优良的化学稳定性和半导体性能,已经广泛应用于生物、能源、催化、信息技术、储能等各个领域,是第一个具有我国自主知识产权的碳材料。石墨炔具有天然的带隙,是一类本征半导体,具有高电荷传输能力。由于其特殊的电子结构及类似硅的优异半导体性能,使其在能源的多个领域和太阳能电池中获得了重要应用。
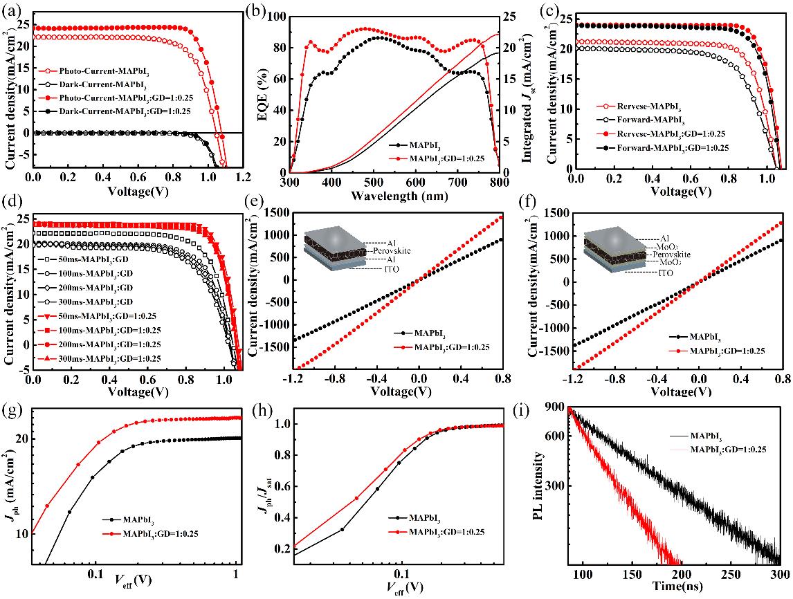
全球对可再生能源的巨大需求促进了钙钛矿太阳能电池研究的蓬勃发展。目前,钙钛矿太阳能电池常见的迟滞效应与稳定性问题严重阻碍了其实现产业化大规模应用。如何制备出一种性能优异且稳定性好的电池器件是亟需解决的难题。在李玉良院士的指导下,青岛能源所酒同钢团队首次将石墨炔作为电池活性层的主体材料,当石墨炔活性材料含量为25%时,制备的钙钛矿太阳能电池效率最高可达21.01%。研究发现,当石墨炔作为主体材料时,石墨炔丰富的π电子与钙钛矿前体溶液中的铅有明显的配位作用,从而延缓了钙钛矿的结晶速度,实现大晶粒尺寸、较少晶界、高结晶度的完美结合。在实现光电性能提高的同时,迟滞效应和稳定性也得到了极大改善。
随后,研究人员从瞬态荧光、激子产生率、导电性等方面探究了器件性能提升的原因,结果表明石墨炔的引入不仅有效减少了晶界,抑制了电荷在晶界处的复合,同时有效提高了电荷的传输,这些效果均有利于器件填充因子和短路电流密度的提高,进而提高了器件性能。同时由于钙钛矿薄膜质量的提高、缺陷态密度的减少,使得器件的迟滞效应和稳定性也得到极大改善。
该研究表明这是第一次发现碳材料可以作为主体材料用于太阳能电池,石墨炔作为钙钛矿主体材料对提高钙钛矿太阳能电池器件性能还有巨大潜力,也为钙钛矿电池器件研究工作提供了全新思路。相关研究成果在Nano Letters (2018, 18, 6941-6947)上发表。
研究获国家自然科学基金、山东省自然科学基金重大基础研究项目、中科院青促会项目的支持。 (文/简红梅 图/赵承洁)



图:石墨炔作为主体材料所制备的钙钛矿器件结构及光电性能
文章链接:https://pubs.acs.org/doi/10.1021/acs.nanolett.8b02863